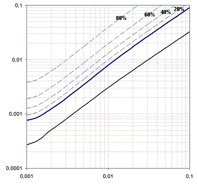
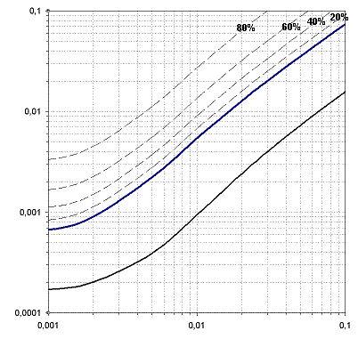
Reiber-Diagramme

Mit Hilfe der von Prof. Reiber entwickelten Quotienten und deren grafischer Darstellung in den sogenannten "Reiber-Diagrammen" ist es möglich, zu beurteilen, ob eine Störung der Blut-Hirnschranke vorliegt und/oder eine intrathekale Immunglobulinsynthese vorliegt. Hierzu werden in Serum-Liquor-Paaren Albumin und IgG, IgA und IgM bestimmt. Die daraus errechneten Liquor-Serum-Quotienten werden in ein doppelt-logarhitmisches Diagramm eingetragen. Die nachfolgenden Immunglobulin-spezifischen Diagramme beinhalten 7 Linien. Die blaue Linie stellt die obere Grenze des Normbereiches der Albumin-/Immunglobulin-Quotienten dar. Die durchgezogene schwarze Linie beschreibt die untere Grenze des Referenzbereiches. Die vier gestrichelten Linen erlauben die Abschätzung des Ausmaßes (20, 40, 60 und 80 %) der intrathekalen Immunglobulinsynthese bezogen auf den Gesamt-Immunglobulingehalt. Da die obere Referenzbereichsgrenze für den Serum-/Liquor-Albumin-Quotienten altersabhängig ist, wird diese Grenze erst nach Eingabe des Alters berechnet und im Diagramm als senkrechte blaue Grenzlinie dargestellt. Punkte die rechts von dieser Linie zu liegen kommen zeigen ein Schrankenstörung an.

Alter

Jahre

  Serum
[g/l]
Liquor (CSF)
[mg/l]
 QCSF/Serum
[x 10
-3]
Norm
[x 10
-3]
lokale Synthese
[%]
lokale Synthese [mg/l]
Albumin    
IgG  
IgA  
IgM  

  

 

Immunglobulin G
IgG-Diagramm
lokale Synthese % lokale Synthese mg/l
Quotient Grenzlinie IgG x 10-3 Untere Grenze IgG x 10-3
Immunglobulin A
IgG-Diagramm
lokale Synthese % lokale Synthese mg/l
Quotient Grenzlinie IgA x 10-3 Untere Grenze IgA x 10-3
Immunglobulin M
IgM-Diagramm
lokale Synthese % lokale Synthese mg/l
Quotient Grenzlinie IgM x 10-3 Untere Grenze IgM x 10-3

 

Beurteilung

 

Einteilung der Schrankenstörung

Albuminquotient Mögliche Erkrankung
Leicht (Qalb bis 10 x 10-3) Multiple Sklerose
Chronische HIV-Enzephalitis
Zoster-Ganglionitis
Alkoholische Polyneuropathie
Amyotrophe Lateralsklerose
Mittelgradig (Qalb bis 20 x 10-3) Virale Meningitis
Opportunistische Meningoenzephalitiden
Diabetische Polyneuropathie
Hirninfarkt
Großhirnathrophie
Schwer (Qalb = 10 bis 50 x 10-3)
(Qalb über 20 x 10-3)
Guillan-Barre-Polyneuritis
Herpes-simplex Enzephalitis
Meningopolyneuritis Bannwarth
Eitrige Meningitis
Tuberkulöse Meningitis

Übersicht über Befundkonstellationen und zugehörige Erkrankungen

Reaktionstyp Mögliche Erkrankung
Kein IgG, IgA, IgM Frühe bakterielle Meningitis und Virusenzephalitis, Guillain-Barré-Polyradiculitis
IgG-Dominanz Multiple Sklerose (seltenes Auftreten von IgMIF, 20%, und IgAIF, 9%)
Neurosyphilis (Zwei-Klassen-Reaktion, gelegentlich erhöhte IgMIF, kein IgAIF)
Chronische HIV-Enzephalitis (Ein-Klassen-Reaktion)
IgA-Dominanz Neurotuberkulose (IgA isoliert oder mit schwacher IgG-und/oder IgM-Reaktion)
Hirnabszess
Adrenoleukodystrophie
IgM-Dominanz Neuroborreliose (IgMIF > IgAIF > IgGIF)
Mumps-Meningoenzephalitis (Drei-Klassen-Reaktion)
Non-Hodgkin-Lymphom mit ZNS-Beteiligung (Ein-Klassen-Reaktion, z.B. isolierte IgMIF>0)
Neurotrypanosomiasis (Drei-Klassen-Reaktion)
IgG + IgA + IgM ohne Dominanz Opportunistische Infektionen bei Immunschwäche (CMV, Toxoplasma)

Literatur:

  • Reiber H. Liquordiagnostik In: Thomas L, ed. Labor und Diagnose, 6. Auflage. Frankfurt: TH-Books 2005: 1743 - 1784
  • Reiber H. Liquordiagnostik In: Berlit P, ed. Klinische Neurologie. 2. Auflage Heidelberg: Springer 2006: 137 - 170
  • Reiber H and Felgenhauer K. Protein transfer at the blood-CSF barrier and the quantitation of the humoral immune response within the central nervous system Clin Chim Acta 1987; 163: 319–28.

© für diese Zusammenstellung: Dr. C. Niederau, Labor Dr. Limbach & Kollegen, 2007